Упр.721 ГДЗ Макарычев Миндюк 9 класс (Углубленный) (Алгебра)
Решение #1

Рассмотрим вариант решения задания из учебника Макарычев, Миндюк, Нешков 9 класс, Просвещение:
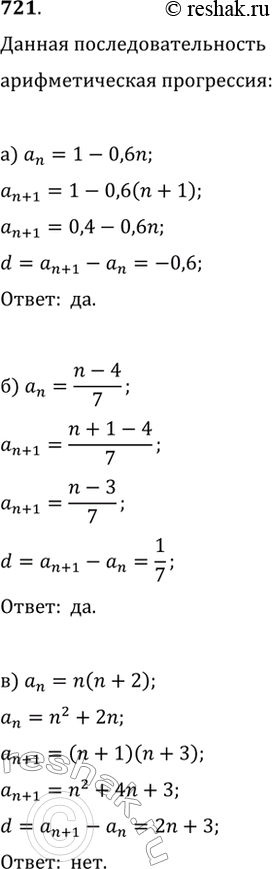
721. Является ли арифметической прогрессией последовательность (a_n), заданная формулой:
а) a_n=1-0,6n; б) a_n=(n-4)/7; в) a_n=n(n+2)?
При положительном ответе укажите разность прогрессии.
*размещая тексты в комментариях ниже, вы автоматически соглашаетесь с пользовательским соглашением