Упр.728 ГДЗ Дорофеев Суворова 9 класс (Алгебра)
Решение #1

Рассмотрим вариант решения задания из учебника Дорофеев, Суворова, Бунимович 9 класс, Просвещение:
728.
а) В геометрической прогрессии b_3 = 48, b_6 = 6. Найдите b_12.
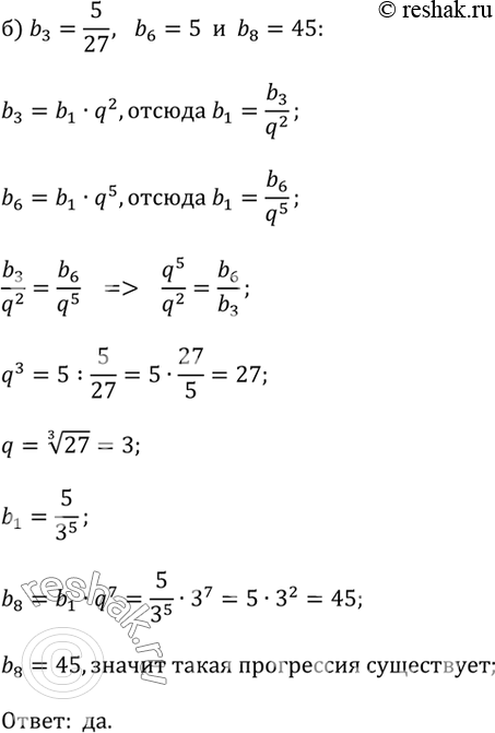
б) Существует ли геометрическая прогрессия, в которой b_3 = 5/27, b_6 = 5 и b_8 = 45?
*размещая тексты в комментариях ниже, вы автоматически соглашаетесь с пользовательским соглашением