Упр.743 ГДЗ Колягин Ткачёва 9 класс (Алгебра)
Решение #1

Рассмотрим вариант решения задания из учебника Колягин, Ткачёва, Фёдорова 9 класс, Просвещение:
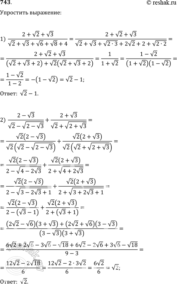
743. Упростить выражение:
1) (2+v2+v3)/(v2+v3+v6+v8+4);
2) (2-v3)/(v2-v(2-v3))+(2+v3)/(v2+v(2+v3));
3) (v(x-2v(x-1))+v(x+2v(x-1)))/(v(x^2-4(x-1))), если 1
4) ((a+b)/((a^2)^(1/3)-(b^2)^(1/3))+((ab^2)^(1/3)-(a^2 b)^(1/3))/((a^2)^(1/3)-2(ab)^(1/3)+(b^2)^(1/3))):(a^(1/6)-b^(1/6))-b^(1/6).
*размещая тексты в комментариях ниже, вы автоматически соглашаетесь с пользовательским соглашением