Упр.75 ГДЗ Никольский Потапов 9 класс (Алгебра)

Решение #1

Изображение 75.а) x^2-11,7x+170 в) x^2+x-12>0 г)...
Дополнительное изображение

Решение #2

Изображение 75.а) x^2-11,7x+170 в) x^2+x-12>0 г)...
Дополнительное изображение

Рассмотрим вариант решения задания из учебника Никольский, Потапов 9 класс, Просвещение:
75.
а) x^2-11,7x+17<0
б) x^2-11,4x+14>0
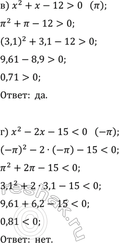
в) x^2+x-12>0
г) x^2-2x-15<0
*Цитирирование задания со ссылкой на учебник производится исключительно в учебных целях для лучшего понимания разбора решения задания.
*размещая тексты в комментариях ниже, вы автоматически соглашаетесь с пользовательским соглашением