Упр.78 ГДЗ Колягин Ткачёва 7 класс (Алгебра)
Решение #1

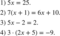
Рассмотрим вариант решения задания из учебника Колягин, Ткачёва, Фёдорова 7 класс, Просвещение:
78. Составить уравнение, корнем которого является число:
1) 5; 2) 3; 3) 0; 4) -4.
*размещая тексты в комментариях ниже, вы автоматически соглашаетесь с пользовательским соглашением