Упр.784 ГДЗ Колягин Ткачёва 7 класс (Алгебра)
Решение #1

Рассмотрим вариант решения задания из учебника Колягин, Ткачёва, Фёдорова 7 класс, Просвещение:
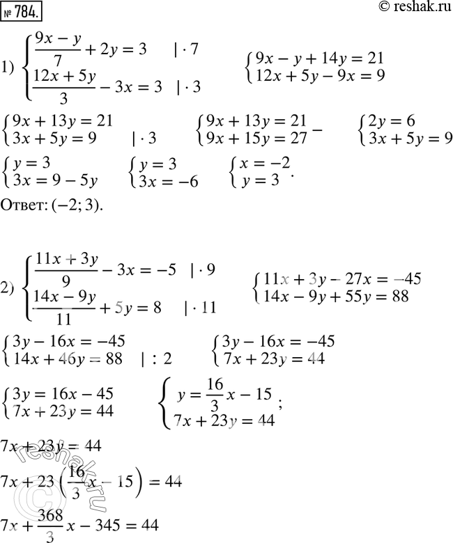
784. Решить систему уравнений:
1) {((9x-y)/7+2y=3
(12x+5y)/3-3x=3)+
2) {((11x+3y)/9-3x=-5
(14x-9y)/11+5y=8)+
3) {((x+5y)/2+(11x-2y)/8=(2x-4y+6)/5
(2x-3y)/7-(y-2x)/5=2(9x+7y)/11)+
*размещая тексты в комментариях ниже, вы автоматически соглашаетесь с пользовательским соглашением