Упр.8.12 ГДЗ Мерзляк 11 класс Углубленный уровень (Алгебра)
Решение #1

Рассмотрим вариант решения задания из учебника Мерзляк, Номировский, Поляков 11 класс, Вентана-Граф, Просвещение:
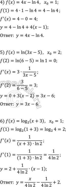
8.12. Составьте уравнение касательной к графику функции f в точке с абсциссой х_0:
1) f(x)=e^(5x), x_0=0; 4) f(x)=4x-ln 4, x_0=1;
2) f(x)=2e^x-cos(x), x_0=0; 5) f(x)=ln (3x-5), x_0=2;
3) f(x)=3^(2x-3), x_0=2; 6) f(x)=log_2 (x+3), x_0=1.
*размещая тексты в комментариях ниже, вы автоматически соглашаетесь с пользовательским соглашением