Упр.89 ГДЗ Муравин 7 класс (Алгебра)
Решение #1

Рассмотрим вариант решения задания из учебника Муравин, Муравина 7 класс, Дрофа:
89. 1) Решите уравнение:
а) 8x - 341 = 1 - х;
б) 419 — 3y = 4y — 8;
в) 1,78z - 1,2 = 2,48z + 2,44;
г) 3,2 + 2,7x = 0,48 - 0,02x;
д) 5 - 2/3 · (x - 3/5) = -1/2 - 2/3 x;
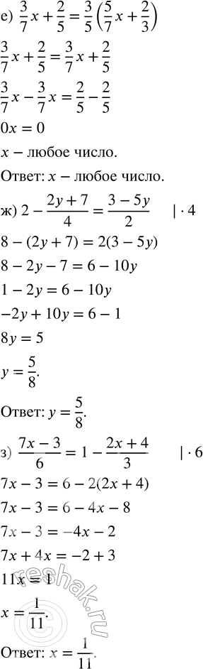
е) 3/7 x + 2/5 = 3/5 · (5/7 x + 2/3);
ж) 2 - (2y + 7)/4 = (3 - 5y)/2;
з) (7x - 3)/6 = 1 - (2x + 4)/3;
и) 7x(6x - 5) + 42x = 3x(5 + 14x) + 49;
к) 27y(5y - 3) + 2y = 9y(15y - 7) + 6,4.
2) Приведите пример уравнения, у которого: а) один корень; б) бесконечное множество корней; в) нет корней.
*размещая тексты в комментариях ниже, вы автоматически соглашаетесь с пользовательским соглашением