Упр.9.17 ГДЗ Мордкович Семенов 9 класс (Алгебра)
Решение #1

Рассмотрим вариант решения задания из учебника Мордкович, Семенов, Александрова 9 класс, Бином:
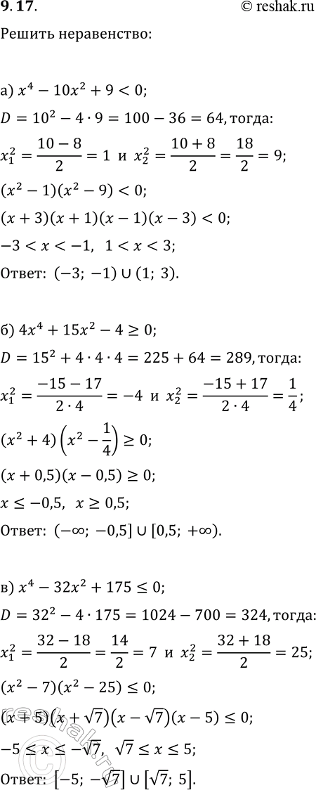
9.17. Решите неравенство:
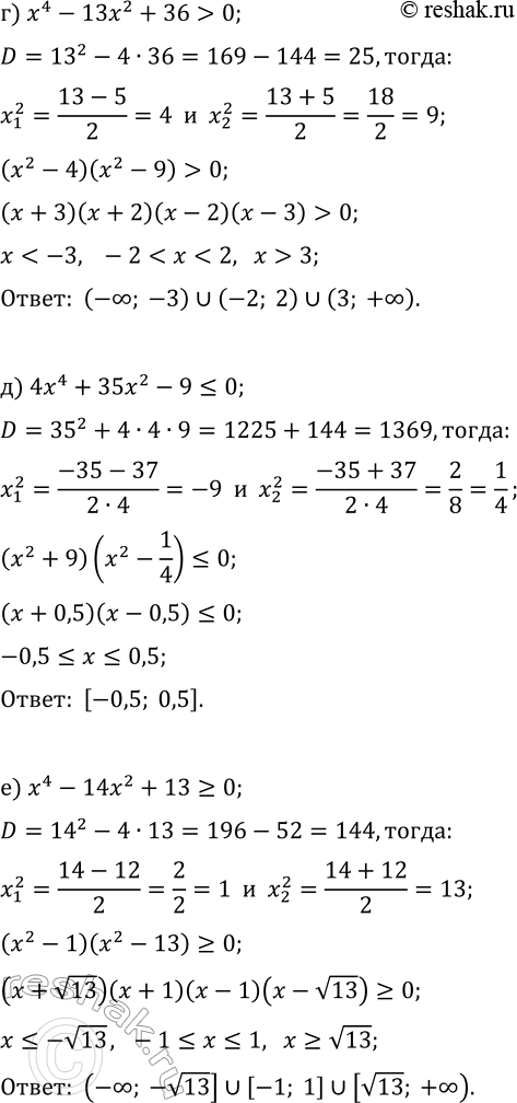
а) x^4-10x^2+9<0; г) x^4-13x^2+36>0;
б) 4x^4+15x^2-4?0; д) 4x^4+35x^2-9?0;
в) x^4-32x^2+175?0; е) x^4-14x^2+13?0.
*размещая тексты в комментариях ниже, вы автоматически соглашаетесь с пользовательским соглашением