Упр.90 ГДЗ Муравин 7 класс (Алгебра)
Решение #1

Рассмотрим вариант решения задания из учебника Муравин, Муравина 7 класс, Дрофа:
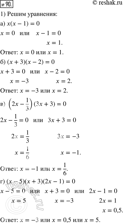
90. 1) Решите уравнение:
а) х(х - 1) = 0;
б) (х + 3)(x - 2) = 0;
в) (2х - 1/3)(3х + 3) = 0;
г) (х - 5)(х + 3)(2х - 1) = 0;
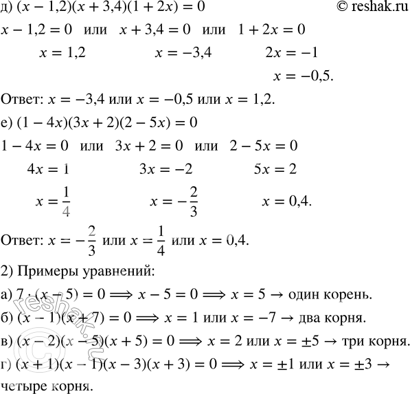
д) (х - 1,2)(х + 3,4)(1 + 2x) = 0;
е) (1 - 4x)(3x + 2)(2 - 5x) = 0.
2) Приведите пример уравнения, у которого:
а) один корень; в) три корня;
б) два корня; г) четыре корня.
*размещая тексты в комментариях ниже, вы автоматически соглашаетесь с пользовательским соглашением