Упр.99 ГДЗ Колягин Ткачёва 7 класс (Алгебра)
Решение #1

Рассмотрим вариант решения задания из учебника Колягин, Ткачёва, Фёдорова 7 класс, Просвещение:
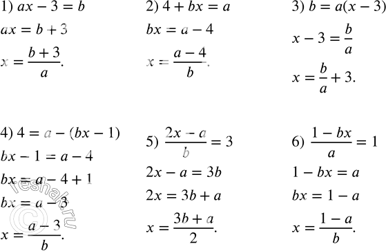
99. Решить уравнение относительно x, если a и b - заданные числа, отличные от нуля:
1) ax-3=b;
2) 4+bx=a;
3) b=a(x-3);
4) 4=a-(bx-1);
5) (2x-a)/b=3;
6) (1-bx)/a=1.
*размещая тексты в комментариях ниже, вы автоматически соглашаетесь с пользовательским соглашением