Упр.296 ГДЗ Макарычев Миндюк 9 класс (Алгебра)
Решение #1
Решение #2

Рассмотрим вариант решения задания из учебника Макарычев, Миндюк, Нешков 9 класс, Просвещение:
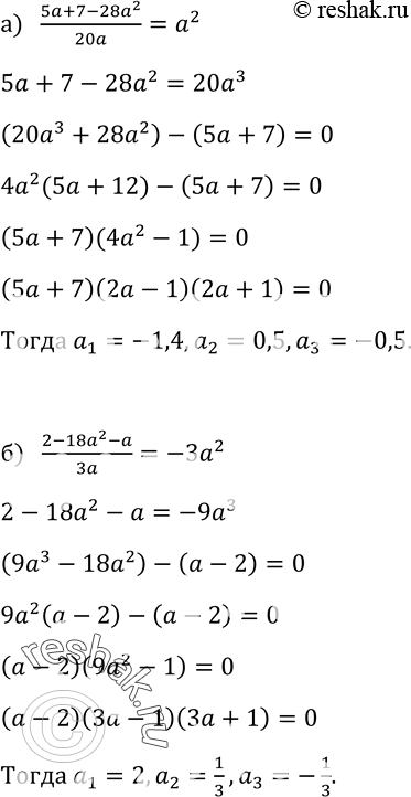
296. При каких значениях а:
а) равны значения выражении (5a+7-28a2)/20a и a2;
б) являются противоположными числами значения выражений (2 - 18а2 - а)/3a и 3a2
*размещая тексты в комментариях ниже, вы автоматически соглашаетесь с пользовательским соглашением