Упр.353 ГДЗ Макарычев Миндюк 9 класс (Алгебра)
Решение #1
Решение #2

Рассмотрим вариант решения задания из учебника Макарычев, Миндюк, Нешков 9 класс, Просвещение:
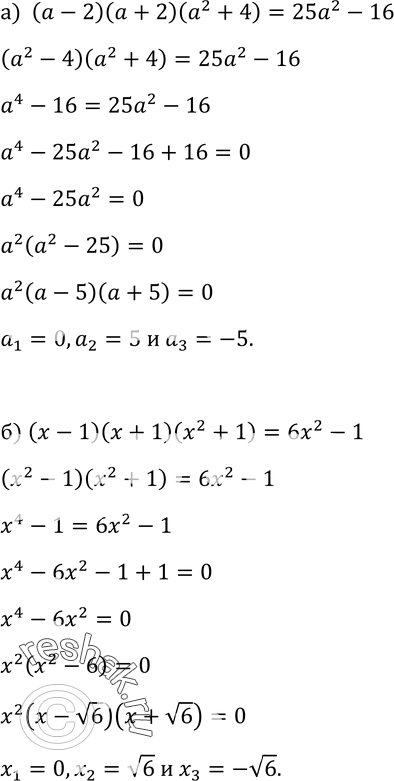
353. Найдите корни уравнения:
а) (а - 2)(а + 2)(а2 + 4) = 25а2-16;
б) (х - 1)(х + 1)(x2 + 1) = 6x2 -1.
*размещая тексты в комментариях ниже, вы автоматически соглашаетесь с пользовательским соглашением