Упр.442 ГДЗ Макарычев Миндюк 9 класс (Алгебра)
Решение #1
Решение #2

Рассмотрим вариант решения задания из учебника Макарычев, Миндюк, Нешков 9 класс, Просвещение:
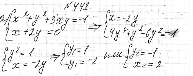
442. Решите систему уравнений
а) система
х2 + у2 + 3 ху = -1,
х + 2у = 0;
б) система
u+2v=4,
u2+uv-v=-5.
*размещая тексты в комментариях ниже, вы автоматически соглашаетесь с пользовательским соглашением