Упр.453 ГДЗ Макарычев Миндюк 9 класс (Алгебра)
Решение #1
Решение #2

Рассмотрим вариант решения задания из учебника Макарычев, Миндюк, Нешков 9 класс, Просвещение:
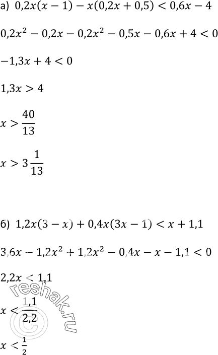
453. Решите неравенство:
а) 0,2х(х- 1) - x(0,2x + 0,5) < 0,6x- 4;
б) 1,2x(3 - x) + 0,4x(3x- 1) < x + 1,1.
*размещая тексты в комментариях ниже, вы автоматически соглашаетесь с пользовательским соглашением