Упр.499 ГДЗ Макарычев Миндюк 9 класс (Алгебра)
Решение #1
Решение #2

Рассмотрим вариант решения задания из учебника Макарычев, Миндюк, Нешков 9 класс, Просвещение:
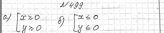
499 Задайте системой неравенств:
а) первую координатную четверть (включая оси координат);
б) третью координатную четверть (включая оси координат).
*размещая тексты в комментариях ниже, вы автоматически соглашаетесь с пользовательским соглашением