Упр.578 ГДЗ Макарычев Миндюк 9 класс (Алгебра)
Решение #1
Решение #2

Рассмотрим вариант решения задания из учебника Макарычев, Миндюк, Нешков 9 класс, Просвещение:
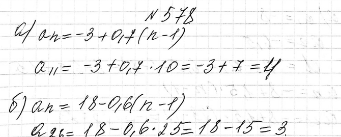
578. Последовательность (аn) - арифметическая прогрессия. Найдите:
а) аn, если а1 = -3 и d =0,7;
б) а26, если а1 = 18 и d =-0,6.
*размещая тексты в комментариях ниже, вы автоматически соглашаетесь с пользовательским соглашением