Упр.606 ГДЗ Макарычев Миндюк 9 класс (Алгебра)
Решение #1
Решение #2
Решение #3

Рассмотрим вариант решения задания из учебника Макарычев, Миндюк, Нешков 9 класс, Просвещение:
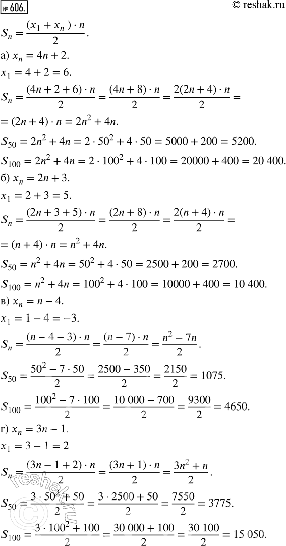
606. Найдите сумму первых пятидесяти, ста, п членов последовательности (xn), если:
а) хn = 4n + 2;
б) хn = 2n + 3;
в) хn = n - 4;
г) хn = Зn - 1.
*размещая тексты в комментариях ниже, вы автоматически соглашаетесь с пользовательским соглашением