Упр.687 ГДЗ Макарычев Миндюк 9 класс (Алгебра)
Решение #1
Решение #2

Рассмотрим вариант решения задания из учебника Макарычев, Миндюк, Нешков 9 класс, Просвещение:
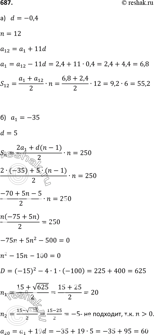
687. В арифметической прогрессии (аn):
а) d = -0,4, n = 12, аn = 2,4; найдите а1 и Sn;
б) а1 = -35, d = 5, Sn = 250; найдите n и аn;
в) d = 1/2, аn = 50, Sn= 2525; найдите а1 и n;
г) a1 = -1/2, аn = -29*1/2, Sn = -450; найдите d и n.
*размещая тексты в комментариях ниже, вы автоматически соглашаетесь с пользовательским соглашением