Упр.713 ГДЗ Макарычев Миндюк 9 класс (Алгебра)
Решение #1
Решение #2

Рассмотрим вариант решения задания из учебника Макарычев, Миндюк, Нешков 9 класс, Просвещение:
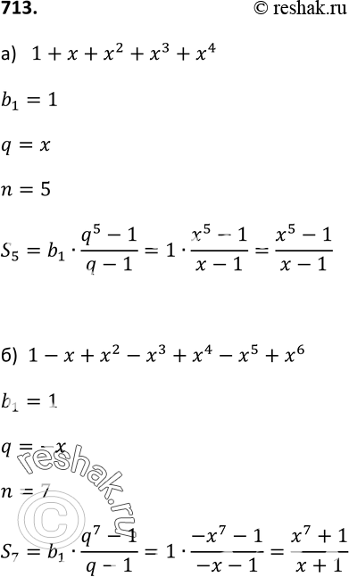
713. Упростите выражение, применив формулу суммы первых n членов геометрической прогрессии:
а) 1 + х + х2 + х3 + x4, где х =/ 1 и х =/ 0;
б) 1 - х + х2 - х3 + х4 - х5 + х6, где х =/ -1 и х =/ 0.
*размещая тексты в комментариях ниже, вы автоматически соглашаетесь с пользовательским соглашением