Упр.760 ГДЗ Макарычев Миндюк 9 класс (Алгебра)
Решение #1
Решение #2

Рассмотрим вариант решения задания из учебника Макарычев, Миндюк, Нешков 9 класс, Просвещение:
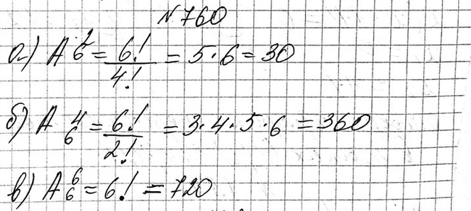
760. На странице альбома 6 свободных мест для фотографий. Сколькими способами можно вложить в свободные места:
а) 2 фотографии; б) 4 фотографии; в) 6 фотографий?
*размещая тексты в комментариях ниже, вы автоматически соглашаетесь с пользовательским соглашением