Упр.771 ГДЗ Макарычев Миндюк 9 класс (Алгебра)
Решение #1
Решение #2

Рассмотрим вариант решения задания из учебника Макарычев, Миндюк, Нешков 9 класс, Просвещение:
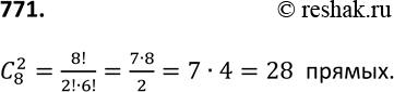
771. На плоскости отмечено восемь точек, никакие три из которых не лежат на одной прямой. Сколько прямых можно провести через эти точки?
*размещая тексты в комментариях ниже, вы автоматически соглашаетесь с пользовательским соглашением