Упр.842 ГДЗ Макарычев Миндюк 9 класс (Алгебра)
Решение #1
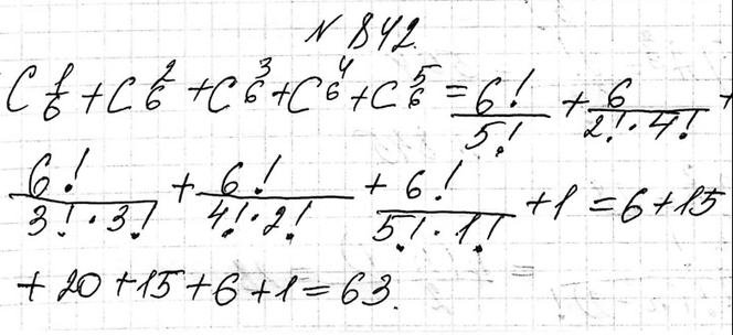
Решение #2

Рассмотрим вариант решения задания из учебника Макарычев, Миндюк, Нешков 9 класс, Просвещение:
842. У Антона шесть друзей. Он может пригласить в гости одного или нескольких из них. Определите общее число возможных вариантов.
*размещая тексты в комментариях ниже, вы автоматически соглашаетесь с пользовательским соглашением