Упр.161 ГДЗ Макарычев Миндюк 9 класс (Алгебра)
Решение #1
Решение #2
Решение #3

Рассмотрим вариант решения задания из учебника Макарычев, Миндюк, Нешков 9 класс, Просвещение:
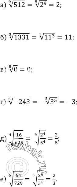
161. Вычислите
а) корень 9 степени 512;
б) корень 3 степени 1331;
в) корень 8 степени 0;
г) корень 5 степени -243;
д) корень 4 степени 16/625;
е) корень 6 степени 64/729.
*размещая тексты в комментариях ниже, вы автоматически соглашаетесь с пользовательским соглашением