Упр.326 ГДЗ Макарычев Миндюк 9 класс (Алгебра)
Решение #1
Решение #2

Рассмотрим вариант решения задания из учебника Макарычев, Миндюк, Нешков 9 класс, Просвещение:
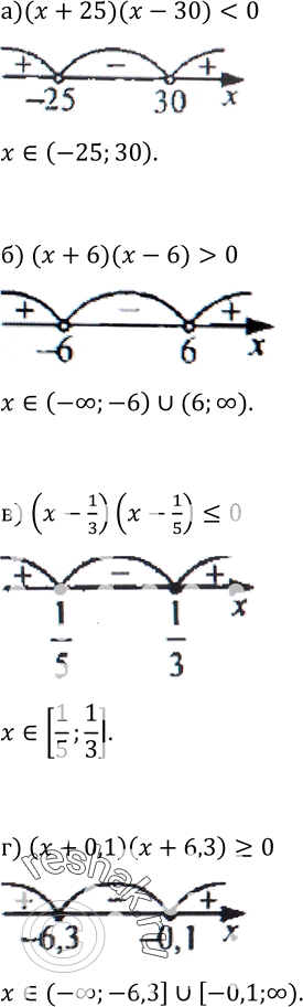
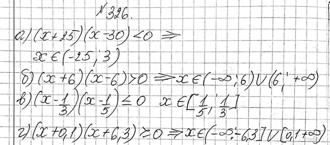
326. Решите неравенство:
а) (х + 25)(х - 30) < 0;
б) (х + 6)(x - 6) > 0;
в) (x-1/3)(x-1/5)<=0;
г) (x+0,1)(x+6,3)>=0.
*размещая тексты в комментариях ниже, вы автоматически соглашаетесь с пользовательским соглашением