Упр.327 ГДЗ Макарычев Миндюк 9 класс (Алгебра)
Решение #1
Решение #2

Рассмотрим вариант решения задания из учебника Макарычев, Миндюк, Нешков 9 класс, Просвещение:
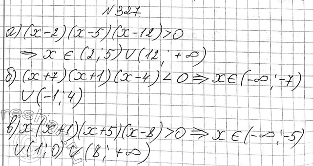
327. Решите неравенство
а) (х - 2)(х - 5)(x -12)>0;
б) (х + 7)(х + 1)(х -4)<0;
в) х(х + 1)(х + 5)(x - 8)>0.
*размещая тексты в комментариях ниже, вы автоматически соглашаетесь с пользовательским соглашением