Упр.514 ГДЗ Макарычев Миндюк 9 класс (Алгебра)
Решение #1
Решение #2

Рассмотрим вариант решения задания из учебника Макарычев, Миндюк, Нешков 9 класс, Просвещение:
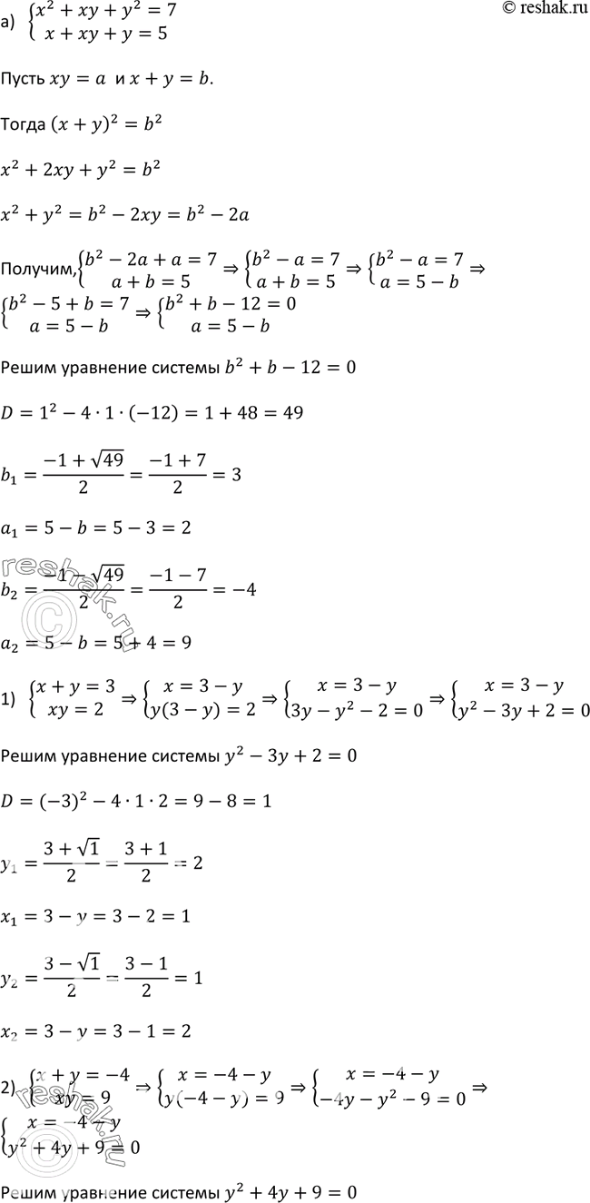
514 Найдите множество решений системы:
а) система
x2+xy+y2=7,
x+xy+y=5;
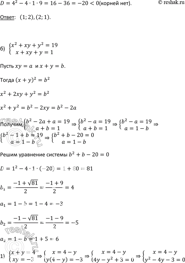
б) система
x2+xy+y2=19,
x+xy+y=1.
*размещая тексты в комментариях ниже, вы автоматически соглашаетесь с пользовательским соглашением