Упр.518 ГДЗ Макарычев Миндюк 9 класс (Алгебра)
Решение #1
Решение #2

Рассмотрим вариант решения задания из учебника Макарычев, Миндюк, Нешков 9 класс, Просвещение:
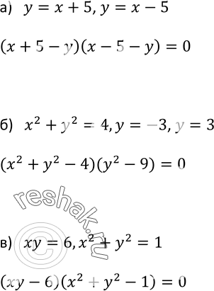
518. Составьте уравнение, графиком которого является:
а) пара прямых у = х + 5 и у = х - 5;
б) окружность х2 + у2 = 4 и пара прямых у = -3 и у=3;
в) гипербола ху = 6 и окружность x2 + y2 = 1.
*размещая тексты в комментариях ниже, вы автоматически соглашаетесь с пользовательским соглашением