Упр.540 ГДЗ Макарычев Миндюк 9 класс (Алгебра)
Решение #1

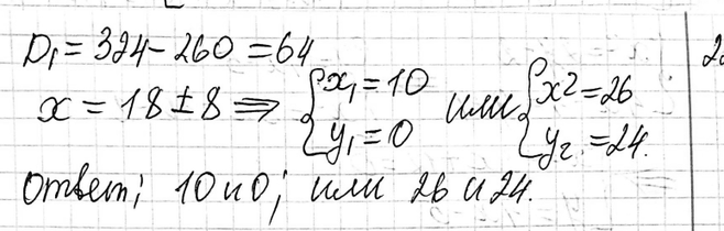
Рассмотрим вариант решения задания из учебника Макарычев, Миндюк, Нешков 9 класс, Просвещение:
540. Разность квадратов двух чисел равна 100. Если из утроенного первого числа вычесть удвоенное второе число, то получится 30. Найдите эти числа.
*размещая тексты в комментариях ниже, вы автоматически соглашаетесь с пользовательским соглашением