Упр.546 ГДЗ Макарычев Миндюк 9 класс (Алгебра)
Решение #1

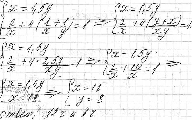
Рассмотрим вариант решения задания из учебника Макарычев, Миндюк, Нешков 9 класс, Просвещение:
546. Чтобы наполнить бассейн, сначала открыли одну трубу и через 2 ч, не закрывая её, открыли другую. Через 4 ч совместной работы труб бассейн был наполнен. Одна вторая труба могла бы наполнить бассейн в 1,5 раза быстрее, чем одна первая. За сколько часов можно наполнить бассейн через каждую трубу?
*размещая тексты в комментариях ниже, вы автоматически соглашаетесь с пользовательским соглашением